• 💎Открылось новое казино Arkada💎

    Забери 100FS за регистрацию - промокод CASINOMY

  • Регистрируйся в новом казино КУШ

    Забери бонус 900 FS + 225% на депозит - промокод CASINOMY

  • Гость, ты уже воспользовался приветственным бонусом в казино FairSpin?!

    Нет? Тогда регистрируйся по промокоду CASINOMY и забирай 200% + 100 FS + 5$ free bet при первом депозите от 2000 руб!

Бездеп Бонус на ПОКЕР 30 Эвро+ 5Евро ставка на спорт

  • Автор темы benya11
  • Дата начала
Bezdep 100FS
Bezdep 100FS
No Deposit 150 FS
nodeposit 100FS
Bezdep 100FS
Bezdep 100FS
KUSH 900 FS
Bezdep Daddy 100АЫ
benya11

benya11

Свидетель Заноса
Проблемы с доступом
22 Янв 2017
2,108
0
41
Credits
¢0
Продуман парнишка. И ключ от сейфа где деньги лежат )) ( за 1 бакс)
Да вообще такой ровный отдавай ему тупо акаунты без прелюдия да даже не за 1 бакс а за 0.50 центов )) Вместе с мылами паролями и всем прочим! Это уже черные делишки с большой буквы! Ладно что я играл формчанам по их желанию 50 на 50 ито через тимвивер-- а этот наглец тупо сбором акк занялся да и смысл с Фетбета ему акция же закрыта уже а 5 + бет жестко палит любые генерации по айпи - не понимаю чудака на что он расчитует ! Тупо за мелочь под акцию собрать инфу о акаунтах людей .. и создать свою базу данных видимо ..... А потом ее продать наверно по дороже ... ххмм ну это уже напрямую мошейничество чистой воды !
 
  • Мне нравится
Реакции: 3 человек
Coins Game 100FS
200% + 50FS + 5$ free bet
100FS Bezdep
Kometa 100 FS no dep
NoDeposit 100FS
150FS
100 FS
Bezdep 100FS
100FS
R7 100FS nodeposit
375%+150FS
100FS
nodeposit
azat585

azat585

Знайка-лудоман
Проверенный
9 Ноя 2016
2,834
113
Credits
¢7
Зашел сегодня глянуть акции в 5+Бет. Бонус с покера так и висел,удалил с глаз долой 5 $ . Там акция,просто за репост в вк. Без закрепа. Сделал на всякий случай,вдруг фартанет.
P.S/ покерок давно бы заюзал. Везде получил по этой акции бездеп. Просто это последняя контора где мне не дали поиграть на последние 5$ ) на условиях провайдера. Просто не заходит в турниры и все. Точнее регаться никак. Только смотреть можно)
 

Вложения

Последнее редактирование модератором:
  • Мне нравится
Реакции: 4 человек
benya11

benya11

Свидетель Заноса
Проблемы с доступом
22 Янв 2017
2,108
0
41
Credits
¢0
Зашел сегодня глянуть акции в 5+Бет. Бонус с покера так и висел,удалил с глаз долой 5 $ . Там акция,просто за репост в вк. Без закрепа. Сделал на всякий случай,вдруг фартанет.
А покерок надо было заюзать че ты :tooth:, странно что ты у них не в бане ):laungh:
 
  • Мне нравится
Реакции: 2 человек
Legioner

Legioner

Доминатор Вайлдов
Проверенный
10 Окт 2017
639
68
42
Credits
¢427
Caveman Bob: 5 USD (real FS) PlayFortuna
Pirates Charm: 5 USD (real FS) PlayFortuna
Spinions: 5 USD (real FS) PlayFortuna
Наиграл писот руплей на 5plusbet, вчера поставил на вывод, отправил доки на верификацию, вчера же и подтвердили их. Денех нет)
 
benya11

benya11

Свидетель Заноса
Проблемы с доступом
22 Янв 2017
2,108
0
41
Credits
¢0
Наиграл писот руплей на 5plusbet, вчера поставил на вывод, отправил доки на верификацию, вчера же и подтвердили их. Денех нет)
а деп был ? Нужно деп и желательно со скрил если хочь что б быстрее вывели
 
Legioner

Legioner

Доминатор Вайлдов
Проверенный
10 Окт 2017
639
68
42
Credits
¢427
Caveman Bob: 5 USD (real FS) PlayFortuna
Pirates Charm: 5 USD (real FS) PlayFortuna
Spinions: 5 USD (real FS) PlayFortuna
Не был, но они ничего и не сказали про деп. Только про подтверждение.
 
benya11

benya11

Свидетель Заноса
Проблемы с доступом
22 Янв 2017
2,108
0
41
Credits
¢0
Не был, но они ничего и не сказали про деп. Только про подтверждение.
Сделай 5 евриков минималку потом кешауть- так практиески везде в каждой похожей руме! Это как подтверждение твоих реквизитов для вывода будет !
 
  • Мне нравится
Реакции: 2 человек
Legioner

Legioner

Доминатор Вайлдов
Проверенный
10 Окт 2017
639
68
42
Credits
¢427
Caveman Bob: 5 USD (real FS) PlayFortuna
Pirates Charm: 5 USD (real FS) PlayFortuna
Spinions: 5 USD (real FS) PlayFortuna
Нетути) Прислали на мэйл, мол рады почитать ваш паспорт, очень красивый, проверка пройдена.
А все эти 2 дня денэшки "висели", т.е. на балансе 0. 5 минут назад вернули на баланс, я снова на вывод.
Не прокатит - закину, чё делать.
Это русский что ли рум? Больно автоматы до боли знакомые некоторые... Не рискнул там играть.
 
  • Мне нравится
Реакции: 2 человек
benya11

benya11

Свидетель Заноса
Проблемы с доступом
22 Янв 2017
2,108
0
41
Credits
¢0
Нетути) Прислали на мэйл, мол рады почитать ваш паспорт, очень красивый, проверка пройдена.
А все эти 2 дня денэшки "висели", т.е. на балансе 0. 5 минут назад вернули на баланс, я снова на вывод.
Не прокатит - закину, чё делать.
Это русский что ли рум? Больно автоматы до боли знакомые некоторые... Не рискнул там играть.
Поэтому и возвращают потому как в кабинете не верифицированы платежные методы- ты должен деп сделать хоть символический что бы они скешаутили тебе на ту платежку, ато будут возвращать опять и снова назад! Можешь сразу приступать в депу иначе время тратить будешь и ждать понапрасну !
Это обычная и стандартная ситуевина для всех подобных рум
 
  • Мне нравится
Реакции: 6 человек
Legioner

Legioner

Доминатор Вайлдов
Проверенный
10 Окт 2017
639
68
42
Credits
¢427
Caveman Bob: 5 USD (real FS) PlayFortuna
Pirates Charm: 5 USD (real FS) PlayFortuna
Spinions: 5 USD (real FS) PlayFortuna
Затребовали скайп подтверждение. Организовал. В процессе звонка попросили паспорт поднести, с собой не было, завтра продолжу эпопею)))
 
  • Мне нравится
Реакции: 4 человек
benya11

benya11

Свидетель Заноса
Проблемы с доступом
22 Янв 2017
2,108
0
41
Credits
¢0
Затребовали скайп подтверждение. Организовал. В процессе звонка попросили паспорт поднести, с собой не было, завтра продолжу эпопею)))
давай дерзай потом роскажешь как все прошло
 
  • Мне нравится
Реакции: 3 человек
igor85

igor85

Ретриггер
Проверенный
2 Июл 2017
13,443
118
Credits
¢329
Pirates Charm: 5 USD (real FS) PlayFortuna
Spinions: 5 USD (real FS) PlayFortuna
Затребовали скайп подтверждение. Организовал. В процессе звонка попросили паспорт поднести, с собой не было, завтра продолжу эпопею)))
Что только не придумают уже... Скоро к ним в офис с документами приезжать будем для дактилоскопии (снятия отпе4атков пальцев..):tooth:
 
  • Мне нравится
Реакции: 3 человек
S

savarus

......
Проверенный
10 Май 2017
1,789
118
Credits
¢115
Что только не придумают уже... Скоро к ним в офис с документами приезжать будем для дактилоскопии (снятия отпе4атков пальцев..):tooth:
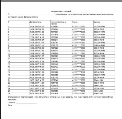
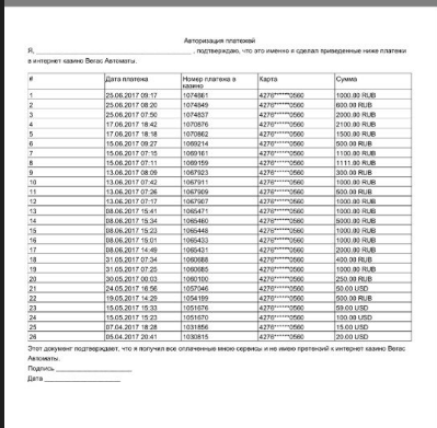
меня казино вегас авт .заблокировали . пока я не подпишу лично бумагу где сказано (сейчас найду покажу ее )
 
  • Мне нравится
Реакции: 2 человек
azat585

azat585

Знайка-лудоман
Проверенный
9 Ноя 2016
2,834
113
Credits
¢7
Каждое казино ищет поводы и предлоги не выплачивать. Самое интересное,мы сам каждый раз играем и играем. И боремся за выплату) казино совсем уже заплыли,точнее их хозяева. Если честно надоели уже они со своей нынешней политикой. Бизнес однодневка,или пошли все на..
P.S. казино очень много стало,и никто из них не борется за свое место на. Или совсем так много людей играет в казино,или просто уже не выгодно дорожить своей репутацией. Кто успел тот и съел.
 
Последнее редактирование модератором:
  • Мне нравится
Реакции: 3 человек
link

link

Stalker
Проверенный
9 Окт 2017
811
93
40
Credits
¢135
Каждое казино ищет поводы и предлоги не выплачивать. Самое интересное,мы сам каждый раз играем и играем. И боремся за выплату) казино совсем уже заплыли,точнее их хозяева. Если честно надоели уже они со своей нынешней политикой. Бизнес однодневка,или пошли все на..
Условий не меряно, сначала бонуску попробуй отбить а потом через огонь, трубы , саппорт и верификацию надо пройти, а как вводить денежки так никаких доков им не нужно. Прибалдели совсем и так деньги лопатой гребут, ну само собой что мы добровольно и сами подписываемся)
 
  • Мне нравится
Реакции: 2 человек
S

savarus

......
Проверенный
10 Май 2017
1,789
118
Credits
¢115
меня казино вегас авт .заблокировали . пока я не подпишу лично бумагу где сказано (сейчас найду покажу ее )
первый раз у меня такое попросили . чтобы подписал я я не разу не выводил только в минус 40К депозиты которые делал через сбербанк . а про киви умолчали .
Screenshot_8.png
 
  • Мне нравится
Реакции: 2 человек
azat585

azat585

Знайка-лудоман
Проверенный
9 Ноя 2016
2,834
113
Credits
¢7
Условий не меряно, сначала бонуску попробуй отбить а потом через огонь, трубы , саппорт и верификацию надо пройти, а как вводить денежки так никаких доков им не нужно. Прибалдели совсем и так деньги лопатой гребут, ну само собой что мы добровольно и сами подписываемся)
Здесь с тобой согласен. Но выше не много,я не совсем опять донес свою мысль. Когда спрос на много выше чем предложение,имеет всегда обратный эффект. Начинается рост этих самых предложений и не высшего качества. И к сожалению из потребляющих,в дальнейшем вливаются в сбыт того или иного. Результат будет один. Рынок будет переполнен всяким шлаком. Единицы,самые грамотные кто вовремя стартанет с минимальным капиталом и без как таковых вложений поимеет много. Остальные просто увязнут в своем бизнесе,и будут тащить его на своей спине за счет игроков и т.д. А сеть с грамотным и умным отделом маркетинга и тем более руководителем,сделает свое дело. Цена,качество. и все ИП и прочее просто сдуются.
 
kerob

kerob

Агент Респинов
Проверенный
29 Окт 2015
2,277
113
37
Credits
¢28
первый раз у меня такое попросили . чтобы подписал я я не разу не выводил только в минус 40К депозиты которые делал через сбербанк . а про киви умолчали .
Посмотреть вложение 30565
у меня такое же в гф было,я потом туда не депал с пол года,через пол года сказали что уже не надо подтверждать,только паспорт им отправил и больше с карты не депал
 
Nema

Nema

Машиах
Проверенный
27 Окт 2015
5,528
118
Credits
¢151
первый раз у меня такое попросили . чтобы подписал я я не разу не выводил только в минус 40К депозиты которые делал через сбербанк . а про киви умолчали .
Посмотреть вложение 30565
Я такую бумагу раза три подписывала. Это требование банка, который обслуживает казино, а не их. Какая-то защита от мошенников карточных, которые потом пишут, что не давали согласие на депозит со своей карты. Во всяком случае так мне пояснили в одном забугорном казино.
 
  • Мне нравится
Реакции: 2 человек
P

proffi12

беру в долг и не возвращаю. Профит.
16 Янв 2016
501
93
40
Credits
¢0
Я такую бумагу раза три подписывала. Это требование банка, который обслуживает казино, а не их. Какая-то защита от мошенников карточных, которые потом пишут, что не давали согласие на депозит со своей карты. Во всяком случае так мне пояснили в одном забугорном казино.
потому что депы совершаются без подтверждения по телефону, и в принципе можно чарджбэк сделать, а так казино страхуется, вот пример - надепал выиграл вывел и чарджбэкнул - изи профит
 
  • Мне нравится
Реакции: 2 человек